表示差不多时用(什么是相对论)
19世纪的最后一天,欧洲著名的科学家欢聚一堂。会上英国著名物理学家威廉.汤姆生(即开尔文男爵)发表了新年祝词。他在回顾物理学所取得的伟大成就时说,物理大厦已经落成,以后的研究只是一些修饰工作。然而他在展望20世纪物理学前景时说:“动力理论肯定了热和光是运动的两种方式,现在,它的美丽而晴朗的天空却被两朵乌云笼罩了,第一朵乌云出现在光的波动理论上,第二朵乌云出现在关于能量均分的麦克斯韦-玻尔兹曼理论上”。
而爱因斯坦提出狭义相对论就是为了消灭物理大厦的第一朵乌云。19 世纪流行着一种“以太”学说,当时认为光的传播介质是“以太”。由此产生了一个新的问题:地球以每秒30公里的速度绕太阳运动,就必须会遇到每秒30公里的“以太风”迎面吹来,同时,它也必须对光的传播产生影响。这个问题的产生,引起人们去探讨“以太风”存在与否。1887年,迈克耳逊(1852-1931)与美国化学家、物理学家莫雷(1838-1923)合作,在克利夫兰进行了一个著名的实验:“迈克耳逊-莫雷实验”,即“以太漂移”实验。然而实验结果证明,不论地球运动的方向同光的射向一致或相反,测出的光速都相同,在地球同设想的“以太”之间没有相对运动。
因为迈克耳逊-莫雷实验结果彻底否定了“以太”存在,从而导致建立在绝对时空观的基础上牛顿经典力学和经典运动学受到了冲击,就在物理学大厦倾倒之际,一个伟大的科学家阿尔伯特·爱因斯坦闪亮登场,挽狂澜于既倒,扶大厦之将倾!
阿尔伯特·爱因斯坦于1905年的论文《论动体的电动力学》中提出两个基本公设上:
1、光速不变原理:真空中的光速在任何参考系下是恒定不变的。
2、狭义协变性原理:一切的惯性参考系都是平权的,即物理规律的形式在任何的惯性参考系中是相同的。
爱因斯坦不仅以此两个公设消灭物理大厦的第一朵乌云,,并以这两个公设完美的介绍了“水星进动”的现象,从此爱因斯坦一发不可收拾,在此公设基础之上推出了:时间会膨胀、空间会收缩、质量与能量可以互相转化等一系列匪夷所思的结论,最可怕的实验证明爱因斯坦是对的!
洛伦兹是坚决反对爱因斯坦的时空观,他常参加一些反对爱因斯坦理论的辩论,在辩论中为了称呼方便,他把爱因斯坦的理论,称为相对论。爱因斯坦起初也是非常反感把他的理论称之为“相对论”,但爱因斯坦的理论主题思想是相对的、其主要论述以及主要推论都是相对的,所以称之为相对论是十分确切的,最终大家都接受了“相对论”这个名称。
你认为爱因斯坦就此罢休了,没有!开挂的人生才刚刚开始,爱因斯坦根本没有满足他的理论只在惯性系中成立,所以在爱因斯坦坚持不懈的努力,终于发现了等效性原理:重力场与以适当加速度运动的参考系是等价的。
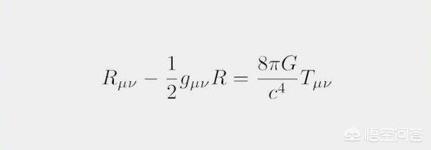
爱因斯坦在等效性原理的基础上提出了广义相对论,并给出了爱因斯坦引力方程:
并为区分原来的理论,把以前的理论命名为狭义相对论,把此理论命名为广义相对论,至此爱因斯坦的相对论正式确立。
最后谢谢大家,这里是白说世界,用数学的思维,科学的方法跟大家一起对文化知识追本溯源。原创不易,如果大家对我的观点有不同的想法,请在评论区留言交流;你若关注、我必回应,互关互动!
